淺談壓阻式壓力傳感器的動態特性
0 引 言
壓阻式壓力傳感器因其采用硅集成電路工藝技術和硅三維加工技術制造,利用硅優良的力學特性,用硅膜作為彈性敏感元件。二者一體化、尺寸小、國外公司的最小敏感元件的直徑為0.8mm,國產最小的敏感元件為1mm×1mm。因而固有頻率很高,加上硅材料的楊氏模量很高,硅壓阻檢測元件是惠斯頓電橋模式。因此硅壓阻式壓力傳感器頻響帶寬從零頻開始,高可達1MHz以上。市面上出售的壓阻式壓力傳感器并非都有很高的動態性能。能制造高頻響壓阻式壓力傳感器的必要條件是:
(1)具有設計高諧振頻率壓力敏感芯片并能制造出這種芯片;
(2)芯片與傳感器封裝設計必須兼容,使傳感器的封裝結構不降低或可預見性地少降低固有頻率;
(3)傳感器的封裝設計必須與用戶的使用狀況相配合,使得使用安裝不降低或少降低可用頻段。
1 敏感元件設計
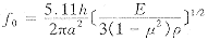
保證壓阻式壓力傳感器優良動態特性的第一步是設計有高的固有頻率的敏感元件。為減小運動質量和避免加速度效應,一般采用周邊固支的圓平膜片或方平膜片作為彈性敏感膜。周邊固支的圓平膜片的固有頻率為:
?。?)
顯然,硅杯的楊氏模量E,低的密度ρ都有利于獲得高的諧振頻率。如果考慮到硅壓阻式壓力敏感元件的輸出靈敏度與膜片的厚徑比有關,因此設計上提高固有頻率的第一措施是減小膜片的半徑。當然這要受到工藝水平、封裝方式、內引線方式等的制約。
用于核沖擊波測量的高頻動態壓力傳感器的固有頻率高達1MHz,就是盡量減小了膜片直徑。在膜片厚度也相應變薄情況下,用特殊設計避免了強光效應的影響。用于創傷醫學研究的埋藏植入式微型高頻高壓傳感器和用于測井采油工藝研究的小型高頻動態壓力傳感器也均采用了小直徑的背面平坦面受力的圓平膜結構。其固有頻率超過壓電式動態壓力傳感器,達500kHz以上,幅頻特性曲線的上升時間及平直段均大大優于壓電式壓力傳感器。
2 傳感器設計
高頻動態壓力傳感器的封裝設計要盡量避免或減小引進氣道管腔效應的影響。以敏感元件的平坦硅片一面直接感受介質壓力,且傳感器設計為齊平式封裝,無引壓進氣道的傳感器,其固有頻率約等于敏感元件的固有頻率。前述三種傳感器均采用了這一設計原則。
由于管腔效應的影響太大,有時為了克服工藝難點,甚至不惜適當加大膜片半徑以保證傳感器能齊平封裝。筆者用于某空氣動力學研究及某化爆自由場測試的動態壓力傳感器即采用了這種設計原則。其0~0.4MPa,……0~4MPa的多種動壓傳感器,固有頻率在100~270kHz。用正弦波動態實校,在5kHz范圍內,幾乎無動態附加誤差。圖1即為一只量程1 MPa的動態壓力傳感器用激波管實驗得出的幅頻特性曲線,其第一諧頻為170kHz,動態誤差很小的可用帶寬在50kHz,上升時間為0.8μs。
圖1 幅頻特性曲線
對于有管腔存在的壓阻式壓力傳感器,在壓阻敏感元件固有頻率很高,封裝中又無充油波紋膜片隔離等增加柔度,降低頻率響應特性的復雜因素存在時,管腔系統的諧振頻率即是傳感器的固有頻率。對于進氣孔半徑為R,長為L,并有一容積相當為V的T型引壓進氣管腔的壓力傳感器,其管腔系統的自振頻率為:
?。?)
代入有關數據,不難求得高精度壓力傳感器的固有頻率為2.47 kHz處,而其敏感元件的固有頻率為20~80 kHz,足見進氣管腔的影響之大。用正弦壓力發生器實校壓力傳感器,第一諧頻在2.44kHz處,與理論計算相符,由圖2所示的動態實校幅頻特性曲線可見 ,該傳感器可用于800-1000Hz以下的低頻動壓精密測試中。
對于封裝無法避免管腔,而又要求動態頻響較高的傳感器,可以盡量采用直筒形引壓進氣道,且越短越好。在敏感元件固有頻率高于管道自振頻率時,傳感器固有頻率由此直管諧振決定。諧振按口琴—笛子模式,其諧振頻率為:
圖2 正弦波動態實校幅頻特性
(3)
水工模型專用脈動壓力傳感器即是為適應水介質和水密封而采用了這一設計模式,其微型敏感元件的固有頻率≥200 kHz,而封裝成的傳感器的第一諧頻約為30 kHz,可用頻段0~10 kHz,已完全滿足水工模型試驗中的動壓頻譜分析。
3 結 論
獲得高動態壓力測試性能的動壓傳感器首先要有自己設計制造的利于封裝的高固有頻率壓力敏感元件,其次要在封裝成壓力傳感器時避免或盡量減小引壓進氣管道。
- 上一篇:合金薄膜壓力傳感器工藝薄膜制備方法與工藝的發展 2023-12-26
- 下一篇:壓力傳感器微弱信號處理與溫度線性的補償 2023-10-12

